Willapa United Methodist Church
Home
About Us
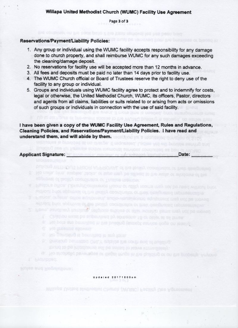
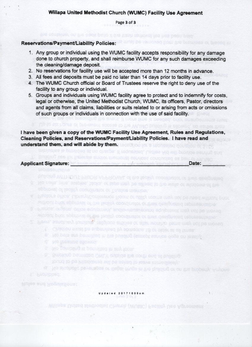
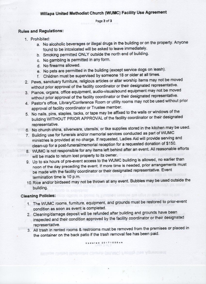
Facility Rental
What to Expect
Main Methodist Teachings
Staff
Pastor
K Bramstedt
Worship
Live Stream
Giving
Prayer
Resources
About Us
Facility Rental